File:New Trade.png
Jump to navigation
Jump to search
New_Trade.png (477 × 195 pixels, file size: 29 KB, MIME type: image/png)
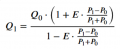
Q is Trade, E is elasticity, P is Tariff
File history
Click on a date/time to view the file as it appeared at that time.
| Date/Time | Thumbnail | Dimensions | User | Comment | |
|---|---|---|---|---|---|
| current | ★ Approved revision 22:06, 29 July 2025 | 477 × 195 (29 KB) | Jose.Solorzano (talk | contribs) |
You cannot overwrite this file.
File usage
The following page uses this file:
